Официальное опубликование правовых актов
ОФИЦИАЛЬНОЕ ОПУБЛИКОВАНИЕ
Постановление Главного управления "Региональная энергетическая комиссия" Рязанской области от 25.11.2022 № 395
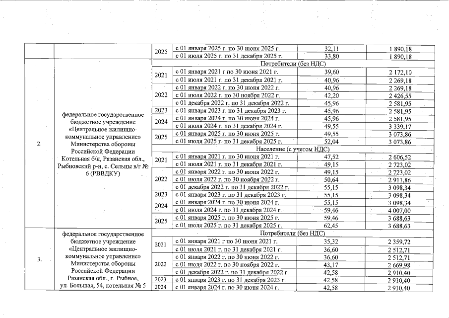
"О внесении изменений в постановление ГУ РЭК Рязанской области от 17 декабря 2020 г. № 311 "Об установлении тарифа на горячую воду для потребителей федерального государственного бюджетного учреждения "Центральное жилищно-коммунальное управление" Министерства обороны Российской Федерации на территории Рязанской области"
Номер опубликования: 6201202211290050
Дата опубликования: 29.11.2022
Страница №4 из 7:
Увеличить