Официальное опубликование правовых актов
ОФИЦИАЛЬНОЕ ОПУБЛИКОВАНИЕ
Постановление Главного управления архитектуры и градостроительства Рязанской области от 25.11.2022 № 721-п
"Об утверждении правил землепользования и застройки муниципального образования – Пронское городское поселение Пронского муниципального района Рязанской области"
Номер опубликования: 6201202211290074
Дата опубликования: 29.11.2022
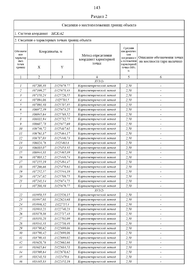
Страница №181 из 208:
Увеличить