Официальное опубликование правовых актов
ОФИЦИАЛЬНОЕ ОПУБЛИКОВАНИЕ
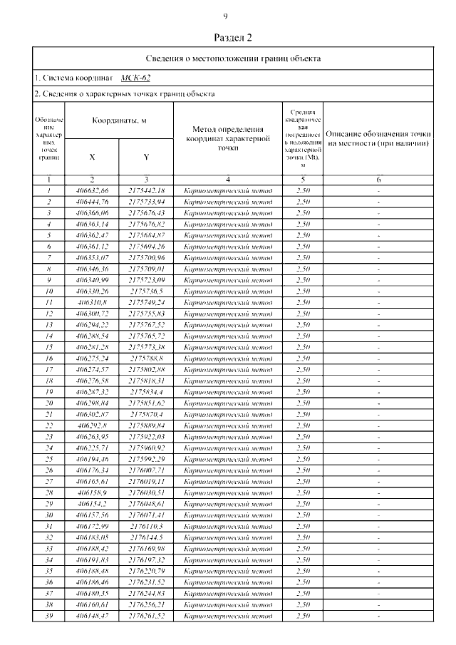
Постановление Главного управления архитектуры и градостроительства Рязанской области от 25.11.2022 № 719-п
"Об утверждении генерального плана муниципального образования – Кирицкое сельское поселение Спасского муниципального района Рязанской области"
Номер опубликования: 6201202211290075
Дата опубликования: 29.11.2022
Страница №97 из 159:
Увеличить