Официальное опубликование правовых актов
ОФИЦИАЛЬНОЕ ОПУБЛИКОВАНИЕ
Постановление Министерства имущественных и земельных отношений Рязанской области от 30.11.2022 № 35-П
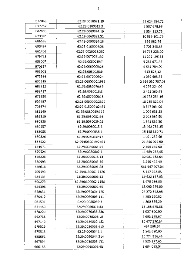
"О внесении изменений в постановление министерства имущественных и земельных отношений Рязанской области от 03.10.2022 № 25-П "Об утверждении результатов определения государственной кадастровой оценки одновременно в отношении всех учтенных в Едином государственном реестре недвижимости земельных участков на территории Рязанской области"
Номер опубликования: 6201202212010017
Дата опубликования: 01.12.2022
Страница №3 из 56:
Увеличить