Официальное опубликование правовых актов
ОФИЦИАЛЬНОЕ ОПУБЛИКОВАНИЕ
Постановление Главного управления архитектуры и градостроительства Рязанской области от 02.12.2022 № 746-п
"Об утверждении правил землепользования и застройки муниципального образования – Федотьевское сельское поселение Спасского муниципального района Рязанской области"
Номер опубликования: 6201202212050003
Дата опубликования: 05.12.2022
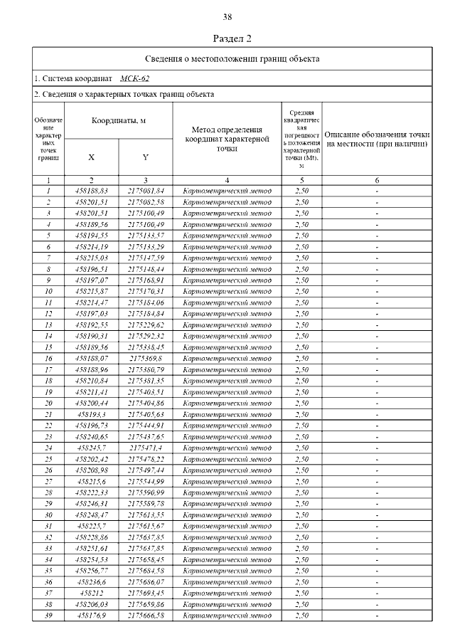
Страница №73 из 365:
Увеличить