Официальное опубликование правовых актов
ОФИЦИАЛЬНОЕ ОПУБЛИКОВАНИЕ
Постановление Главного управления архитектуры и градостроительства Рязанской области от 14.12.2022 № 767-п
"Об утверждении правил землепользования и застройки муниципального образования – Ряжское городское поселение Ряжского муниципального района Рязанской области"
Номер опубликования: 6201202212160006
Дата опубликования: 16.12.2022
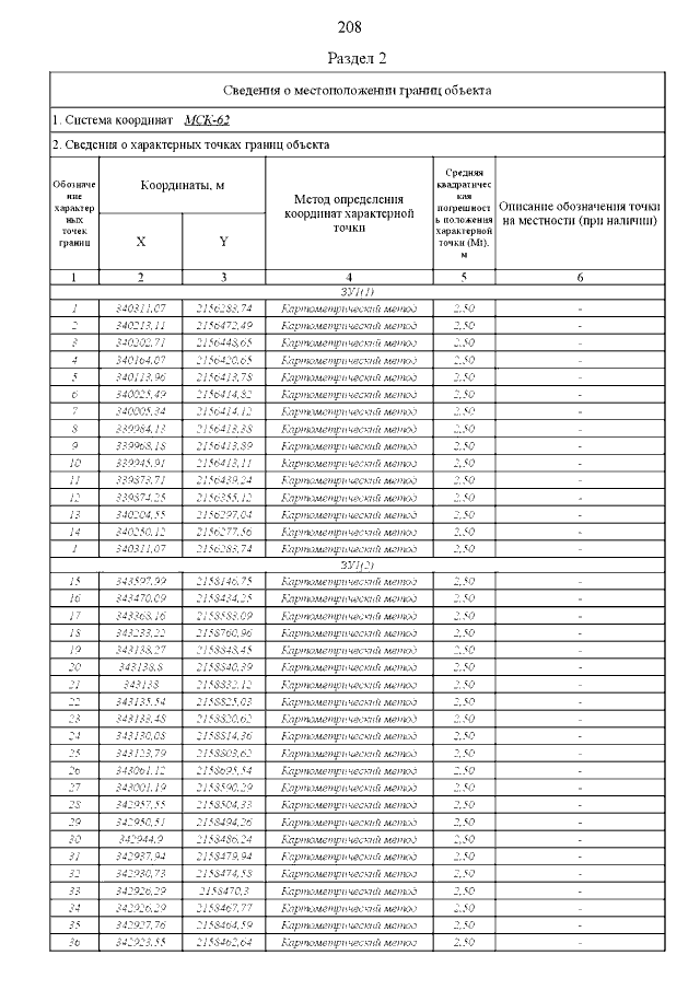
Страница №250 из 304:
Увеличить