Официальное опубликование правовых актов
ОФИЦИАЛЬНОЕ ОПУБЛИКОВАНИЕ
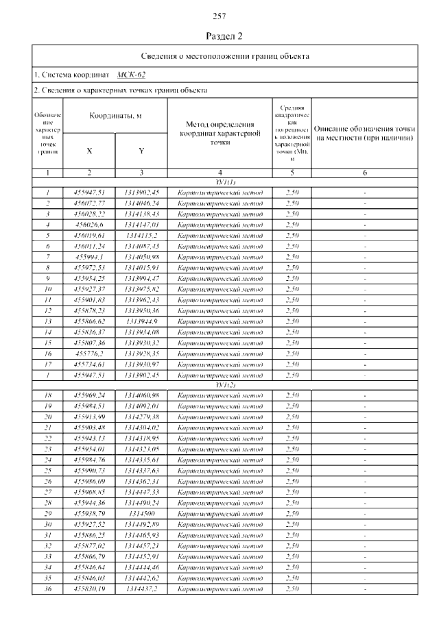
Постановление Главного управления архитектуры и градостроительства Рязанской области от 14.12.2022 № 765-п
"Об утверждении правил землепользования и застройки муниципального образования – Рыбновское городское поселение Рыбновского муниципального района Рязанской области"
Номер опубликования: 6201202212160008
Дата опубликования: 16.12.2022
Страница №297 из 562:
Увеличить