Официальное опубликование правовых актов
ОФИЦИАЛЬНОЕ ОПУБЛИКОВАНИЕ
Постановление Главного управления архитектуры и градостроительства Рязанской области от 03.02.2023 № 57-п
"Об утверждении правил землепользования и застройки муниципального образования – Ольховское сельское поселение Шацкого муниципального района Рязанской области"
Номер опубликования: 6201202302070006
Дата опубликования: 07.02.2023
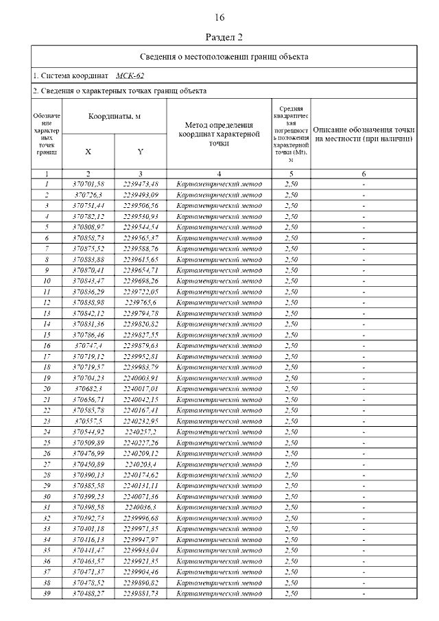
Страница №44 из 395:
Увеличить