Официальное опубликование правовых актов
ОФИЦИАЛЬНОЕ ОПУБЛИКОВАНИЕ
Постановление Министерства природопользования Рязанской области от 06.02.2023 № 1
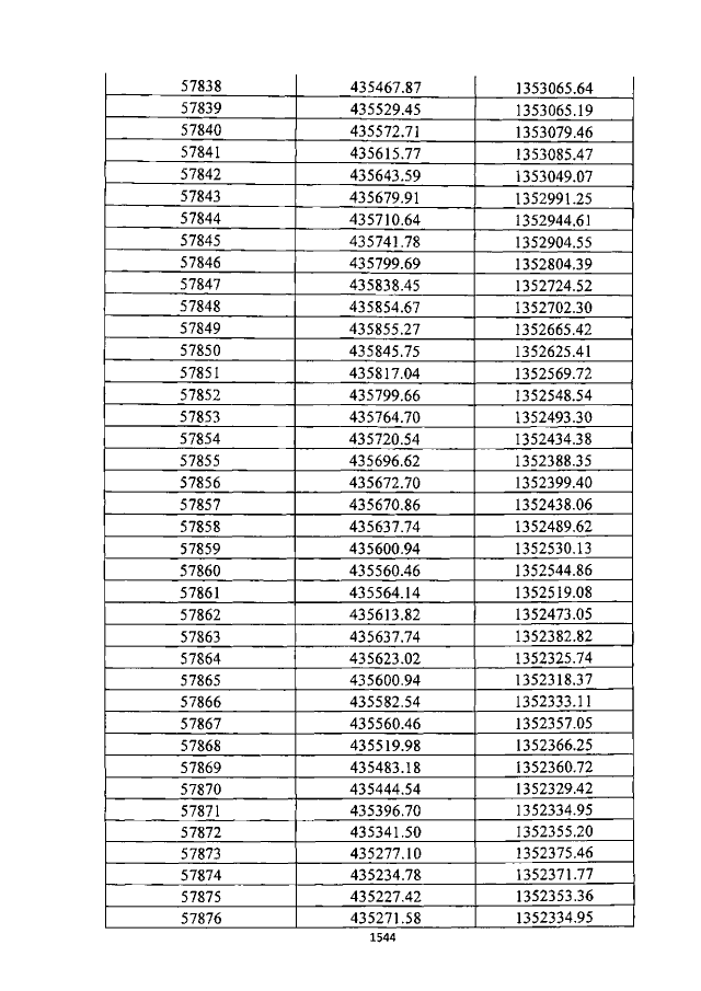
"О внесении изменений в постановление министерства природопользования Рязанской области от 25 января 2021 г. № 2 "Об установлении границ лесопаркового зеленого пояса вокруг города Рязани"
Номер опубликования: 6201202302080001
Дата опубликования: 08.02.2023
Страница №1545 из 1869:
Увеличить