Официальное опубликование правовых актов
ОФИЦИАЛЬНОЕ ОПУБЛИКОВАНИЕ
Постановление Главного управления архитектуры и градостроительства Рязанской области от 09.02.2023 № 69-п
"Об утверждении правил землепользования и застройки муниципального образования – Мердушинское сельское поселение Ермишинского муниципального района Рязанской области"
Номер опубликования: 6201202302100007
Дата опубликования: 10.02.2023
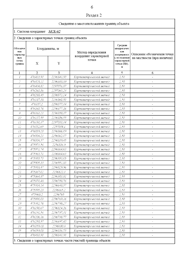
Страница №34 из 176:
Увеличить