Официальное опубликование правовых актов
ОФИЦИАЛЬНОЕ ОПУБЛИКОВАНИЕ
Постановление Главного управления архитектуры и градостроительства Рязанской области от 09.02.2023 № 71-п
"Об утверждении правил землепользования и застройки муниципального образования – Орловское сельское поселение Пронского муниципального района Рязанской области"
Номер опубликования: 6201202302100008
Дата опубликования: 10.02.2023
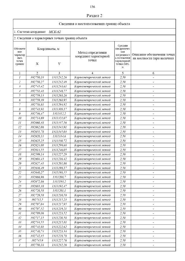
Страница №164 из 185:
Увеличить