Официальное опубликование правовых актов
ОФИЦИАЛЬНОЕ ОПУБЛИКОВАНИЕ
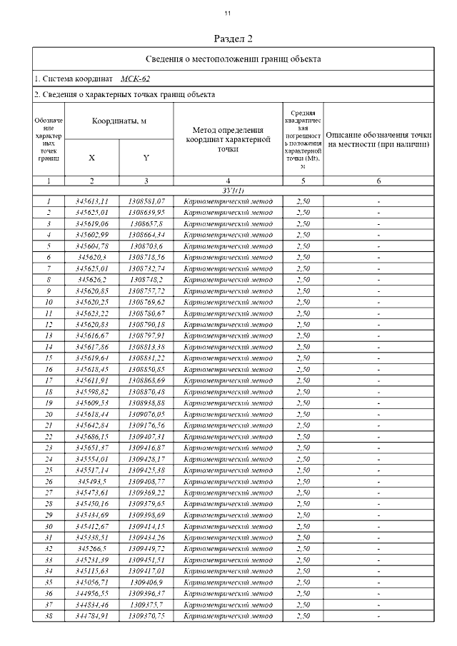
Постановление Главного управления архитектуры и градостроительства Рязанской области от 20.02.2023 № 94-п
"Об утверждении правил землепользования и застройки муниципального образования – Корневское сельское поселение Скопинского муниципального района Рязанской области"
(Зарегистрирован 27.02.2023 № 140)
Номер опубликования: 6201202303030002
Дата опубликования: 03.03.2023
Страница №44 из 243:
Увеличить