Официальное опубликование правовых актов
ОФИЦИАЛЬНОЕ ОПУБЛИКОВАНИЕ
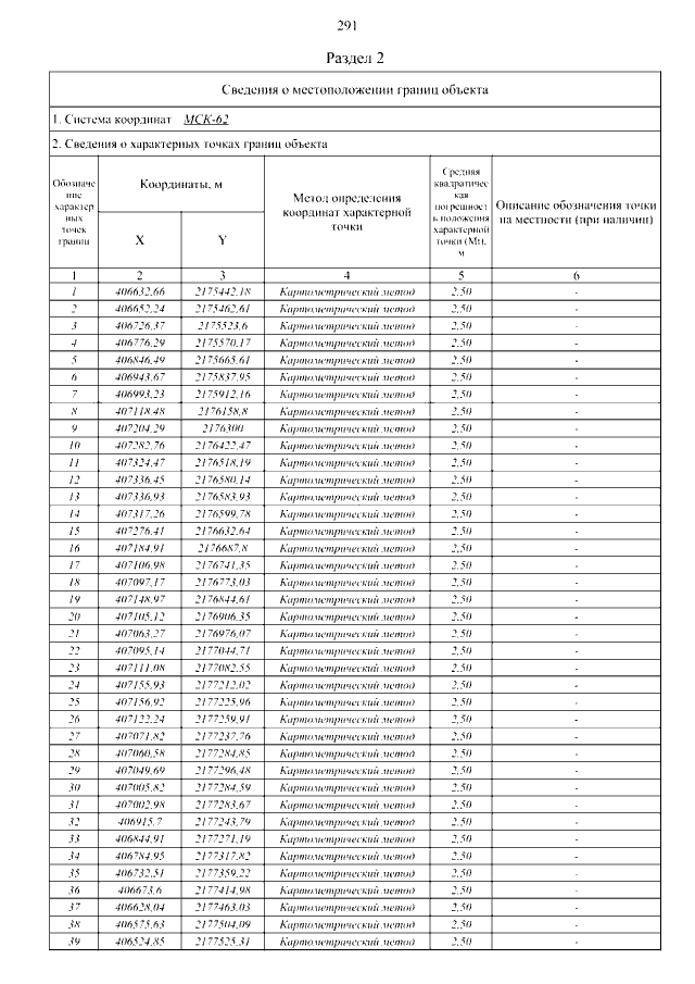
Постановление Главного управления архитектуры и градостроительства Рязанской области от 01.03.2023 № 100-п
"Об утверждении правил землепользования и застройки муниципального образования – Кирицкое сельское поселение Спасского муниципального района Рязанской области"
(Зарегистрирован 02.03.2023 № 155)
Номер опубликования: 6201202303070006
Дата опубликования: 07.03.2023
Страница №332 из 336:
Увеличить