Официальное опубликование правовых актов
ОФИЦИАЛЬНОЕ ОПУБЛИКОВАНИЕ
Постановление Главного управления архитектуры и градостроительства Рязанской области от 02.03.2023 № 107-п
"Об утверждении правил землепользования и застройки муниципального образования – Михеевское сельское поселение Сапожковского муниципального района Рязанской области"
(Зарегистрирован 06.03.2023 № 168)
Номер опубликования: 6201202303100001
Дата опубликования: 10.03.2023
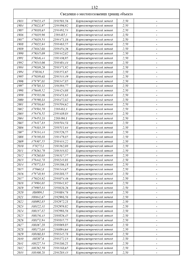
Страница №165 из 223:
Увеличить