Официальное опубликование правовых актов
ОФИЦИАЛЬНОЕ ОПУБЛИКОВАНИЕ
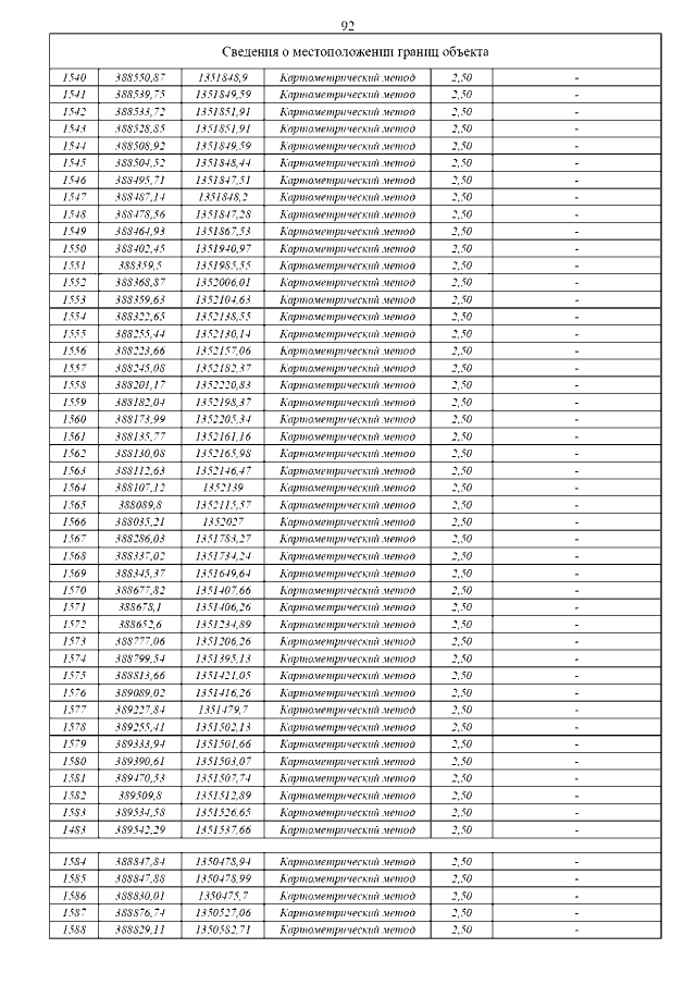
Постановление Главного управления архитектуры и градостроительства Рязанской области от 02.03.2023 № 106-п
"Об утверждении правил землепользования и застройки муниципального образования – Ленинское сельское поселение Старожиловского муниципального района Рязанской области"
(Зарегистрирован 06.03.2023 № 163)
Номер опубликования: 6201202303100002
Дата опубликования: 10.03.2023
Страница №119 из 154:
Увеличить