Официальное опубликование правовых актов
ОФИЦИАЛЬНОЕ ОПУБЛИКОВАНИЕ
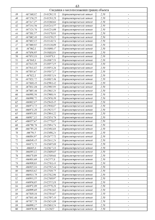
Постановление Главного управления архитектуры и градостроительства Рязанской области от 14.03.2023 № 134-п
"Об утверждении генерального плана муниципального образования – Заборьевское сельское поселение Рязанского муниципального района Рязанской области"
(Зарегистрирован 17.03.2023 № 210)
Номер опубликования: 6201202303220001
Дата опубликования: 22.03.2023
Страница №75 из 126:
Увеличить