Официальное опубликование правовых актов
ОФИЦИАЛЬНОЕ ОПУБЛИКОВАНИЕ
Постановление Главного управления архитектуры и градостроительства Рязанской области от 20.03.2023 № 143-п
"Об утверждении правил землепользования и застройки муниципального образования – Пертовское сельское поселение Чучковского муниципального района Рязанской области"
(Зарегистрирован 22.03.2023 № 234)
Номер опубликования: 6201202303240009
Дата опубликования: 24.03.2023
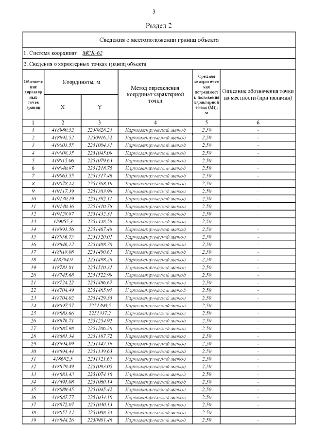
Страница №32 из 246:
Увеличить