Официальное опубликование правовых актов
ОФИЦИАЛЬНОЕ ОПУБЛИКОВАНИЕ
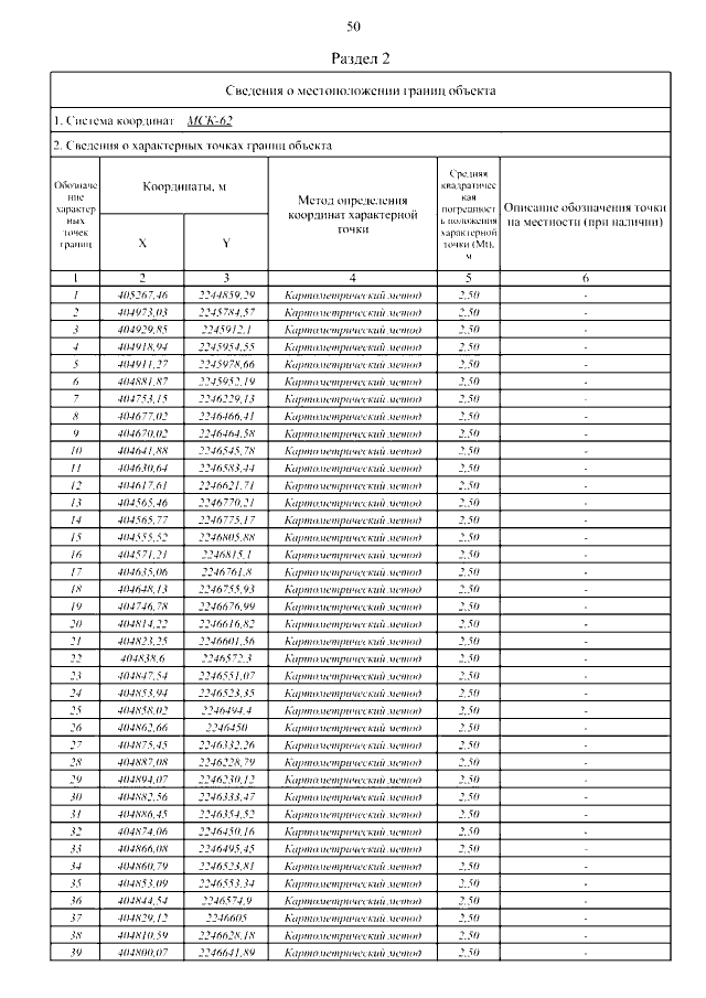
Постановление Главного управления архитектуры и градостроительства Рязанской области от 16.03.2023 № 136-п
"Об утверждении правил землепользования и застройки муниципального образования – Чучковское городское поселение Чучковского муниципального района Рязанской области"
(Зарегистрирован 20.03.2023 № 213)
Номер опубликования: 6201202303240011
Дата опубликования: 24.03.2023
Страница №83 из 130:
Увеличить