Официальное опубликование правовых актов
ОФИЦИАЛЬНОЕ ОПУБЛИКОВАНИЕ
Постановление Главного управления архитектуры и градостроительства Рязанской области от 16.03.2023 № 135-п
"Об утверждении генерального плана муниципального образования – Чучковское городское поселение Чучковского муниципального района Рязанской области"
(Зарегистрирован 20.03.2023 № 212)
Номер опубликования: 6201202303240012
Дата опубликования: 24.03.2023
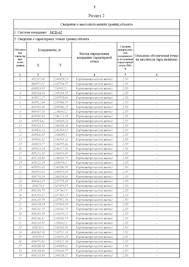
Страница №15 из 20:
Увеличить