Официальное опубликование правовых актов
ОФИЦИАЛЬНОЕ ОПУБЛИКОВАНИЕ
Постановление Главного управления архитектуры и градостроительства Рязанской области от 30.03.2023 № 154-п
"Об утверждении генерального плана муниципального образования – Собчаковское сельское поселение Спасского муниципального района Рязанской области"
(Зарегистрирован 30.03.2023 № 267)
Номер опубликования: 6201202304030003
Дата опубликования: 03.04.2023
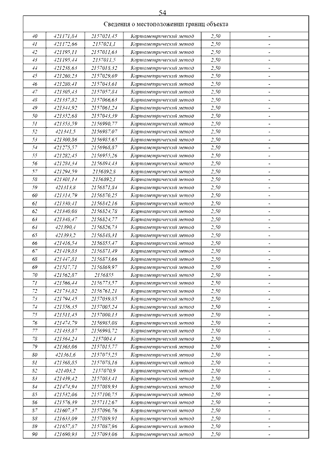
Страница №64 из 66:
Увеличить