Официальное опубликование правовых актов
ОФИЦИАЛЬНОЕ ОПУБЛИКОВАНИЕ
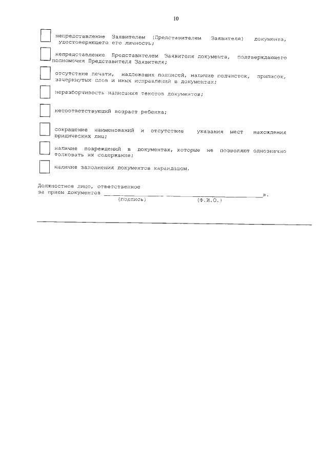
Постановление Министерства образования Рязанской области от 14.04.2023 № 10
"О внесении изменений в некоторые нормативные правовые акты министерства образования Рязанской области"
(Зарегистрирован 14.04.2023 № 306)
Номер опубликования: 6201202304190003
Дата опубликования: 19.04.2023
Страница №10 из 10:
Увеличить