Официальное опубликование правовых актов
ОФИЦИАЛЬНОЕ ОПУБЛИКОВАНИЕ
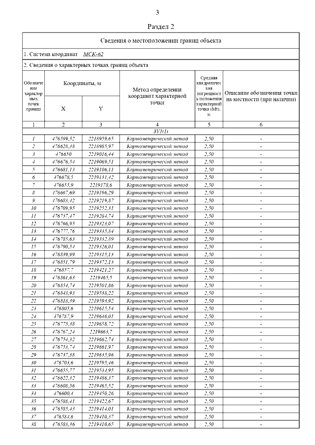
Постановление Главного управления архитектуры и градостроительства Рязанской области от 18.04.2023 № 173-п
"Об утверждении генерального плана муниципального образования – Ибердусское сельское поселение Касимовского муниципального района Рязанской области"
(Зарегистрирован 18.04.2023 № 317)
Номер опубликования: 6201202304210001
Дата опубликования: 21.04.2023
Страница №13 из 39:
Увеличить