Официальное опубликование правовых актов
ОФИЦИАЛЬНОЕ ОПУБЛИКОВАНИЕ
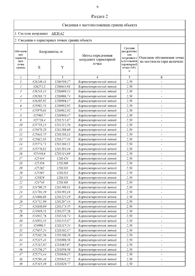
Постановление Главного управления архитектуры и градостроительства Рязанской области от 17.04.2023 № 172-п
"Об утверждении генерального плана муниципального образования – Липяговское сельское поселение Милославского муниципального района Рязанской области"
(Зарегистрирован 18.04.2023 № 316)
Номер опубликования: 6201202304210003
Дата опубликования: 21.04.2023
Страница №19 из 59:
Увеличить