Официальное опубликование правовых актов
ОФИЦИАЛЬНОЕ ОПУБЛИКОВАНИЕ
Постановление Главного управления архитектуры и градостроительства Рязанской области от 21.04.2023 № 179-п
"Об утверждении правил землепользования и застройки муниципального образования – Ибердусское сельское поселение Касимовского муниципального района Рязанской области"
(Зарегистрирован 24.04.2023 № 330)
Номер опубликования: 6201202304280003
Дата опубликования: 28.04.2023
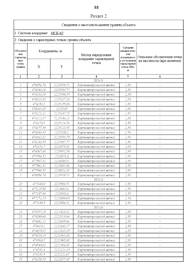
Страница №116 из 124:
Увеличить