Официальное опубликование правовых актов
ОФИЦИАЛЬНОЕ ОПУБЛИКОВАНИЕ
Постановление Главного управления архитектуры и градостроительства Рязанской области от 26.04.2023 № 186-п
"Об утверждении генерального плана муниципального образования – Шелемишевское сельское поселение Скопинского муниципального района Рязанской области"
(Зарегистрирован 26.04.2023 № 341)
Номер опубликования: 6201202304280007
Дата опубликования: 28.04.2023
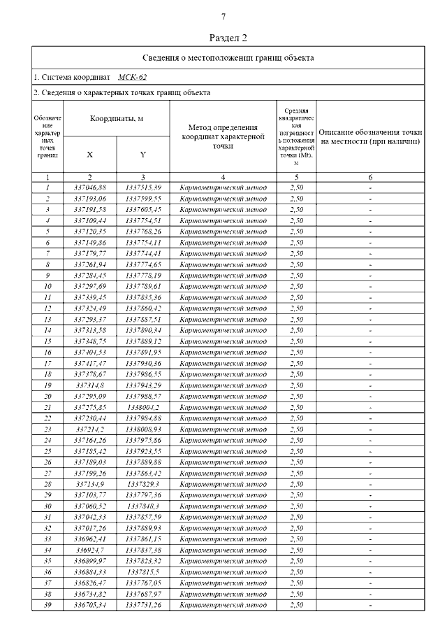
Страница №18 из 170:
Увеличить