Официальное опубликование правовых актов
ОФИЦИАЛЬНОЕ ОПУБЛИКОВАНИЕ
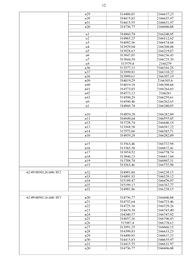
Постановление Главного управления архитектуры и градостроительства Рязанской области от 21.04.2023 № 180-п
"Об утверждении документации по планировке территории по объекту: "Инфраструктура агропромышленного парка в районе р.п. Александро-Невский"
(Зарегистрирован 24.04.2023 № 331)
Номер опубликования: 6201202304280009
Дата опубликования: 28.04.2023
Страница №14 из 23:
Увеличить