Официальное опубликование правовых актов
ОФИЦИАЛЬНОЕ ОПУБЛИКОВАНИЕ
Постановление Главного управления архитектуры и градостроительства Рязанской области от 27.04.2023 № 189-п
"Об утверждении правил землепользования и застройки муниципального образования – Торбаевское сельское поселение Касимовского муниципального района Рязанской области"
(Зарегистрирован 02.05.2023 № 355)
Номер опубликования: 6201202305040001
Дата опубликования: 04.05.2023
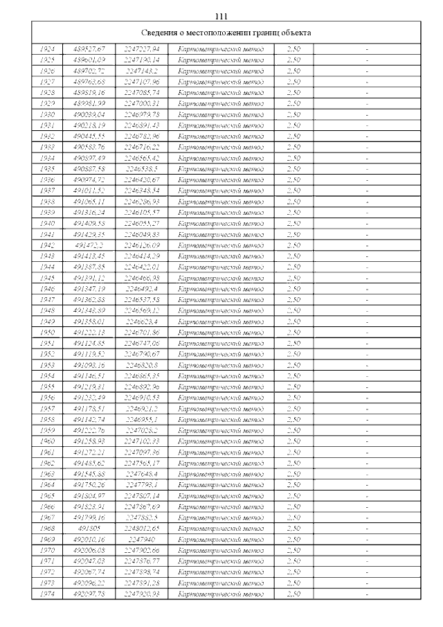
Страница №139 из 251:
Увеличить