Официальное опубликование правовых актов
ОФИЦИАЛЬНОЕ ОПУБЛИКОВАНИЕ
Постановление Главного управления архитектуры и градостроительства Рязанской области от 27.04.2023 № 188-п
"Об утверждении генерального плана муниципального образования – Торбаевское сельское поселение Касимовского муниципального района Рязанской области"
(Зарегистрирован 02.05.2023 № 354)
Номер опубликования: 6201202305040002
Дата опубликования: 04.05.2023
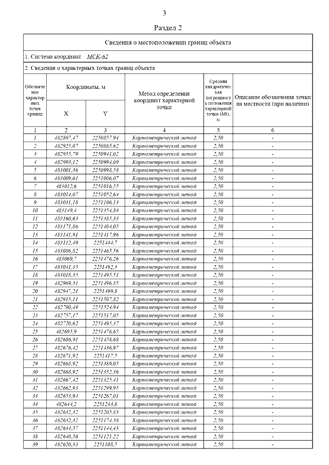
Страница №13 из 73:
Увеличить