Официальное опубликование правовых актов
ОФИЦИАЛЬНОЕ ОПУБЛИКОВАНИЕ
Постановление Главного управления архитектуры и градостроительства Рязанской области от 15.05.2023 № 199-п
"Об утверждении правил землепользования и застройки муниципального образования – Спасск-Рязанское городское поселение Спасского муниципального района Рязанской области"
(Зарегистрирован 16.05.2023 № 377)
Номер опубликования: 6201202305170004
Дата опубликования: 17.05.2023
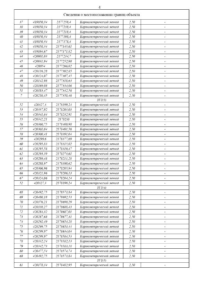
Страница №49 из 273:
Увеличить