Официальное опубликование правовых актов
ОФИЦИАЛЬНОЕ ОПУБЛИКОВАНИЕ
Постановление Главного управления архитектуры и градостроительства Рязанской области от 05.06.2023 № 229-п
"Об утверждении правил землепользования и застройки муниципального образования – Карабухинское сельское поселение Путятинского муниципального района Рязанской области"
(Зарегистрирован 06.06.2023 № 442)
Номер опубликования: 6201202306090007
Дата опубликования: 09.06.2023
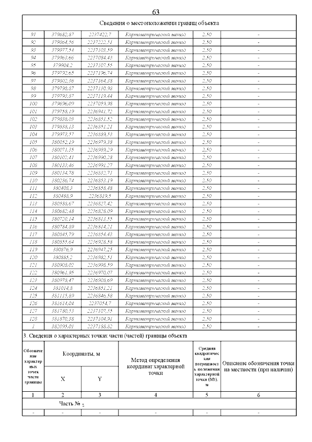
Страница №93 из 355:
Увеличить