Официальное опубликование правовых актов
ОФИЦИАЛЬНОЕ ОПУБЛИКОВАНИЕ
Постановление Главного управления архитектуры и градостроительства Рязанской области от 05.06.2023 № 228-п
"Об утверждении изменений в генеральный план муниципального образования – Карабухинское сельское поселение Путятинского муниципального района Рязанской области"
(Зарегистрирован 06.06.2023 № 441)
Номер опубликования: 6201202306090008
Дата опубликования: 09.06.2023
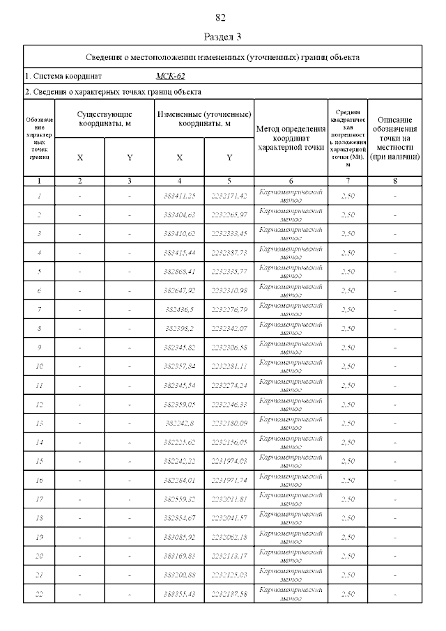
Страница №92 из 120:
Увеличить