Официальное опубликование правовых актов
ОФИЦИАЛЬНОЕ ОПУБЛИКОВАНИЕ
Постановление Главного управления архитектуры и градостроительства Рязанской области от 28.06.2023 № 260-п
"Об утверждении генерального плана муниципального образования – Смолеевское сельское поселение Ухоловского муниципального района Рязанской области"
(Зарегистрирован 28.06.2023 № 497)
Номер опубликования: 6201202307030006
Дата опубликования: 03.07.2023
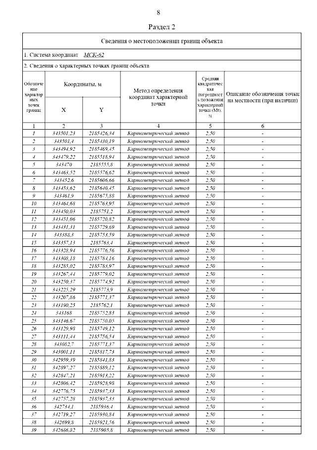
Страница №19 из 79:
Увеличить