Официальное опубликование правовых актов
ОФИЦИАЛЬНОЕ ОПУБЛИКОВАНИЕ
Постановление Главного управления архитектуры и градостроительства Рязанской области от 30.06.2023 № 261-п
"Об утверждении генерального плана муниципального образования – Санское сельское поселение Шиловского муниципального района Рязанской области применительно к населенным пунктам с. Юшта, с. Федосеево-Пустынь"
(Зарегистрирован 03.07.2023 № 507)
Номер опубликования: 6201202307050001
Дата опубликования: 05.07.2023
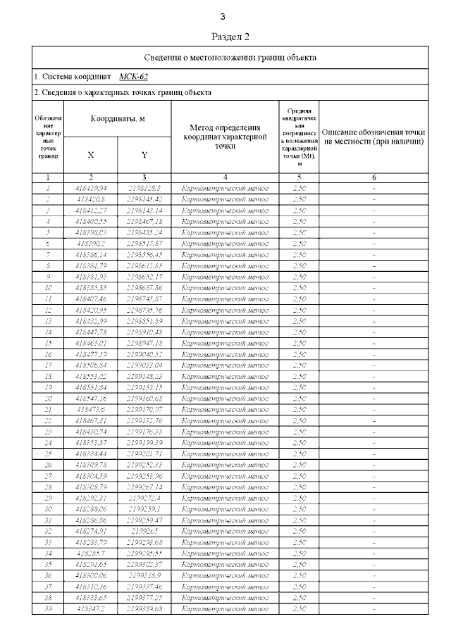
Страница №12 из 22:
Увеличить