Официальное опубликование правовых актов
ОФИЦИАЛЬНОЕ ОПУБЛИКОВАНИЕ
Постановление Главного управления архитектуры и градостроительства Рязанской области от 30.06.2023 № 263-п
"Об утверждении правил землепользования и застройки муниципального образования – Заборьевское сельское поселение Рязанского муниципального района Рязанской области"
(Зарегистрирован 03.07.2023 № 509)
Номер опубликования: 6201202307050004
Дата опубликования: 05.07.2023
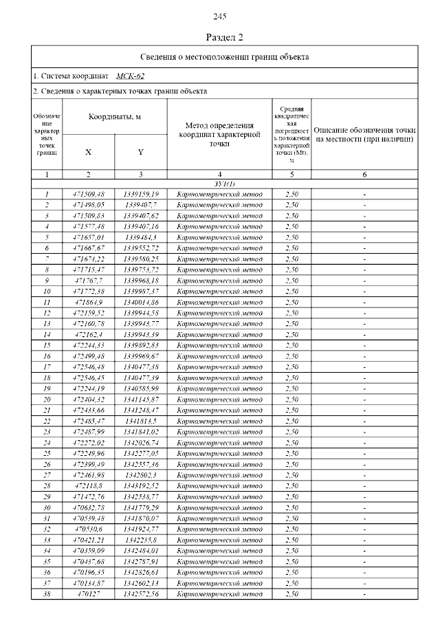
Страница №299 из 406:
Увеличить