Официальное опубликование правовых актов
ОФИЦИАЛЬНОЕ ОПУБЛИКОВАНИЕ
Постановление Главного управления архитектуры и градостроительства Рязанской области от 03.07.2023 № 264-п
"Об утверждении генерального плана муниципального образования – Вышгородское сельское поселение Рязанского муниципального района Рязанской области"
(Зарегистрирован 05.07.2023 № 513)
Номер опубликования: 6201202307070001
Дата опубликования: 07.07.2023
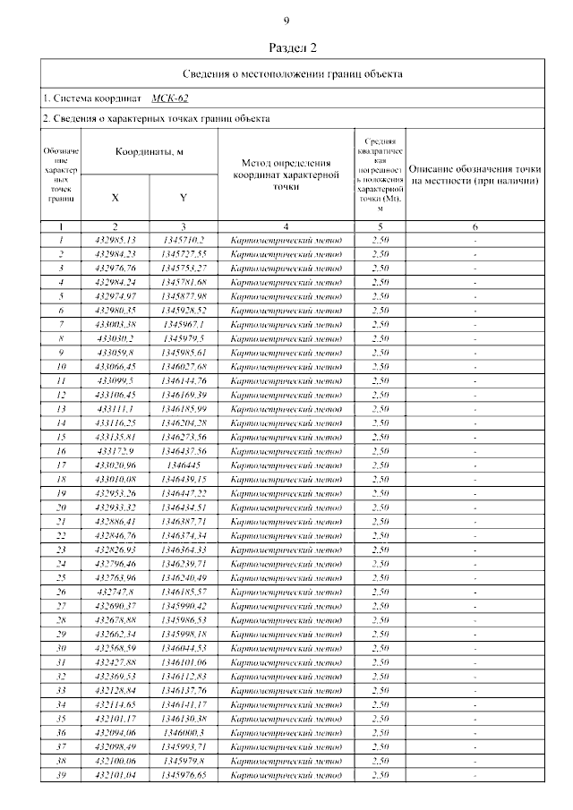
Страница №23 из 73:
Увеличить