Официальное опубликование правовых актов
ОФИЦИАЛЬНОЕ ОПУБЛИКОВАНИЕ
Постановление Главного управления архитектуры и градостроительства Рязанской области от 04.07.2023 № 269-п
"Об утверждении правил землепользования и застройки муниципального образования – Мурминское сельское поселение Рязанского муниципального района Рязанской области"
(Зарегистрирован 06.07.2023 № 518)
Номер опубликования: 6201202307110005
Дата опубликования: 11.07.2023
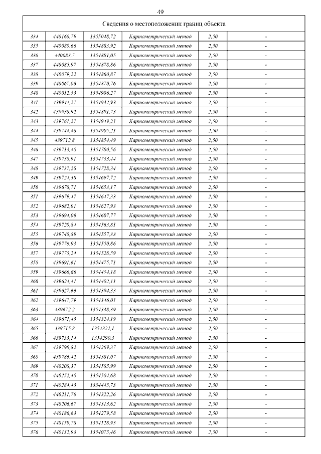
Страница №92 из 295:
Увеличить