Официальное опубликование правовых актов
ОФИЦИАЛЬНОЕ ОПУБЛИКОВАНИЕ
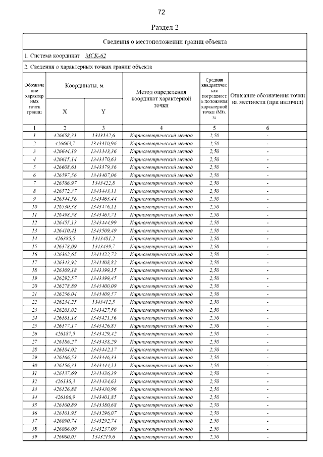
Постановление Главного управления архитектуры и градостроительства Рязанской области от 04.07.2023 № 271-п
"Об утверждении правил землепользования и застройки муниципального образования – Окское сельское поселение Рязанского муниципального района Рязанской области"
(Зарегистрирован 06.07.2023 № 520)
Номер опубликования: 6201202307110015
Дата опубликования: 11.07.2023
Страница №113 из 505:
Увеличить