Официальное опубликование правовых актов
ОФИЦИАЛЬНОЕ ОПУБЛИКОВАНИЕ
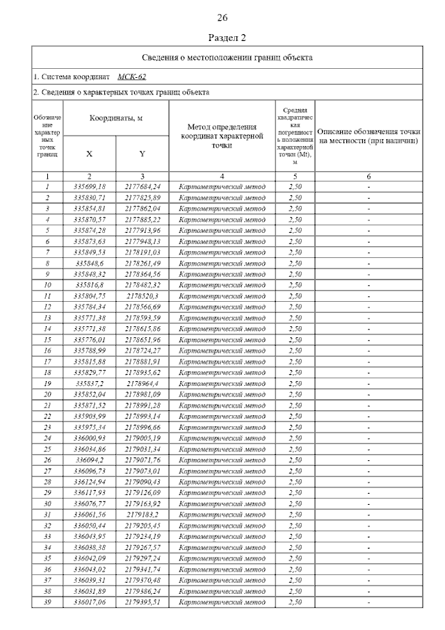
Постановление Главного управления архитектуры и градостроительства Рязанской области от 10.07.2023 № 289-п
"Об утверждении правил землепользования и застройки муниципального образования – Смолеевское сельское поселение Ухоловского муниципального района Рязанской области"
(Зарегистрирован 10.07.2023 № 544)
Номер опубликования: 6201202307130007
Дата опубликования: 13.07.2023
Страница №53 из 182:
Увеличить