Официальное опубликование правовых актов
ОФИЦИАЛЬНОЕ ОПУБЛИКОВАНИЕ
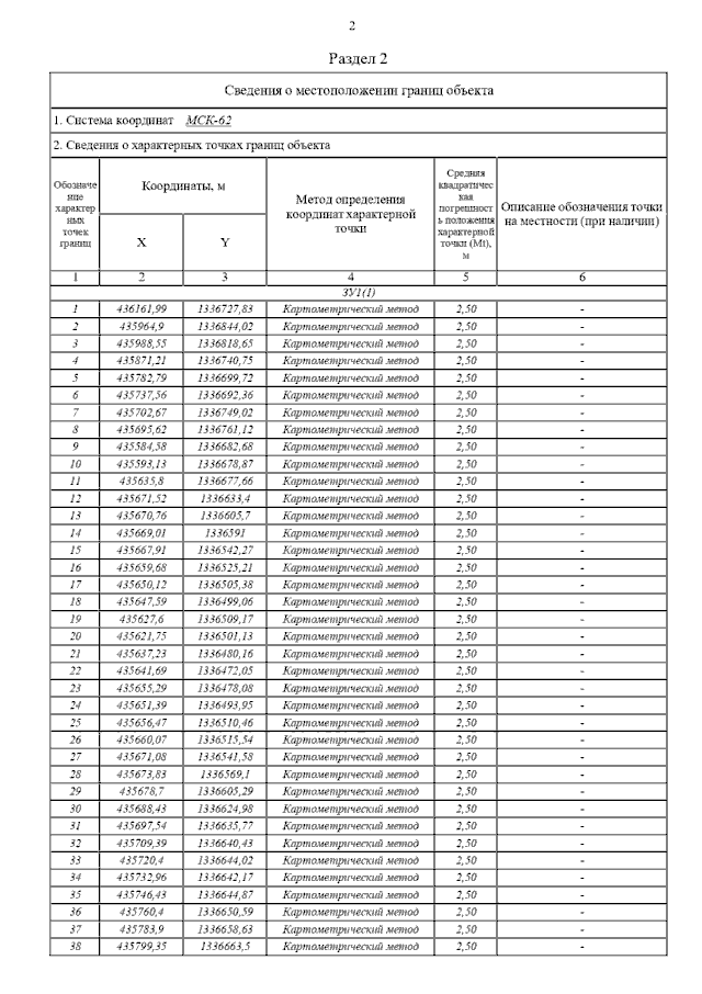
Постановление Главного управления архитектуры и градостроительства Рязанской области от 14.07.2023 № 309-п
"Об утверждении изменений в правила землепользования и застройки муниципального образования – Турлатовское сельское поселение Рязанского муниципального района Рязанской области"
(Зарегистрирован 17.07.2023 № 577)
Номер опубликования: 6201202307190002
Дата опубликования: 19.07.2023
Страница №7 из 131:
Увеличить