Официальное опубликование правовых актов
ОФИЦИАЛЬНОЕ ОПУБЛИКОВАНИЕ
Постановление Главного управления архитектуры и градостроительства Рязанской области от 17.07.2023 № 313-п
"Об утверждении правил землепользования и застройки муниципального образования – Сапожковское городское поселение Сапожковского муниципального района Рязанской области"
(Зарегистрирован 17.07.2023 № 587)
Номер опубликования: 6201202307200004
Дата опубликования: 20.07.2023
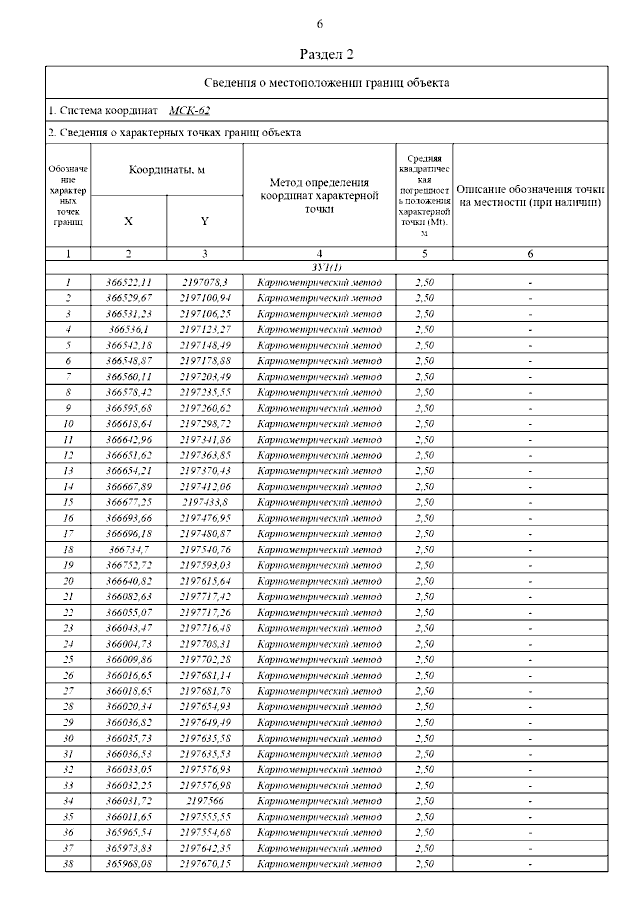
Страница №49 из 442:
Увеличить