Официальное опубликование правовых актов
ОФИЦИАЛЬНОЕ ОПУБЛИКОВАНИЕ
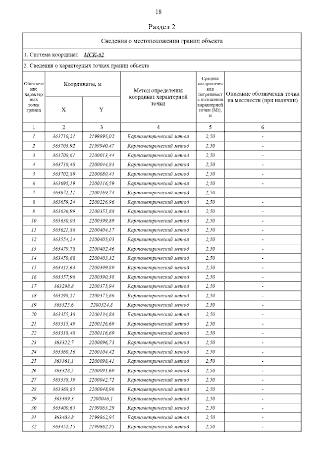
Постановление Главного управления архитектуры и градостроительства Рязанской области от 17.07.2023 № 312-п
"Об утверждении генерального плана муниципального образования – Сапожковское городское поселение Сапожковского муниципального района Рязанской области"
(Зарегистрирован 17.07.2023 № 586)
Номер опубликования: 6201202307200005
Дата опубликования: 20.07.2023
Страница №31 из 86:
Увеличить