Официальное опубликование правовых актов
ОФИЦИАЛЬНОЕ ОПУБЛИКОВАНИЕ
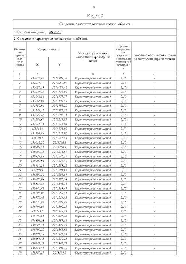
Постановление Главного управления архитектуры и градостроительства Рязанской области от 17.07.2023 № 314-п
"Об утверждении генерального плана муниципального образования – Ижевское сельское поселение Спасского муниципального района Рязанской области"
(Зарегистрирован 17.07.2023 № 588)
Номер опубликования: 6201202307200007
Дата опубликования: 20.07.2023
Страница №25 из 27:
Увеличить