Официальное опубликование правовых актов
ОФИЦИАЛЬНОЕ ОПУБЛИКОВАНИЕ
Постановление Главного управления архитектуры и градостроительства Рязанской области от 18.07.2023 № 321-п
"Об утверждении генерального плана муниципального образования – Ермо-Николаевское сельское поселение Пителинского муниципального района Рязанской области"
(Зарегистрирован 18.07.2023 № 596)
Номер опубликования: 6201202307200013
Дата опубликования: 20.07.2023
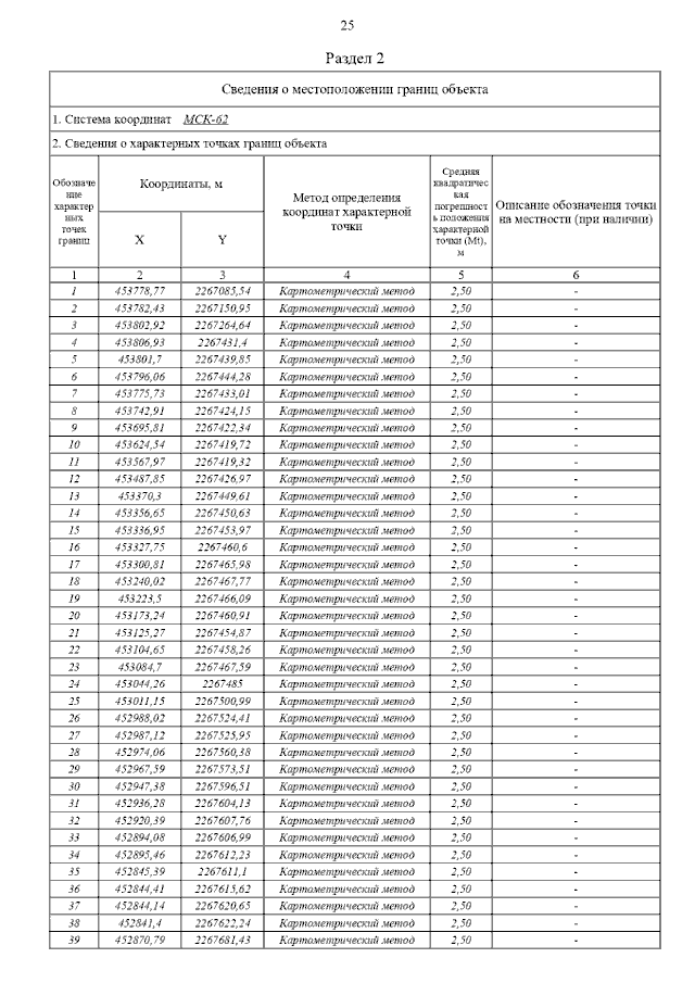
Страница №36 из 58:
Увеличить