Официальное опубликование правовых актов
ОФИЦИАЛЬНОЕ ОПУБЛИКОВАНИЕ
Постановление Главного управления архитектуры и градостроительства Рязанской области от 20.07.2023 № 326-п
"Об утверждении генерального плана муниципального образования – Ибредское сельское поселение Шиловского муниципального района Рязанской области"
(Зарегистрирован 20.07.2023 № 605)
Номер опубликования: 6201202307240002
Дата опубликования: 24.07.2023
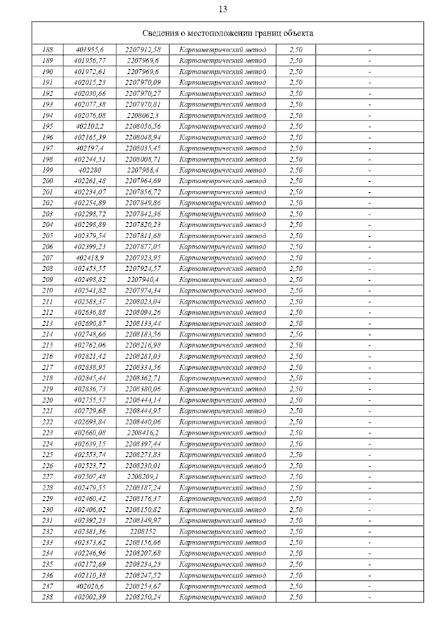
Страница №23 из 27:
Увеличить