Официальное опубликование правовых актов
ОФИЦИАЛЬНОЕ ОПУБЛИКОВАНИЕ
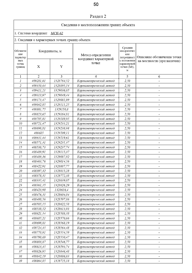
Постановление Главного управления архитектуры и градостроительства Рязанской области от 01.08.2023 № 344-п
"Об утверждении генерального плана муниципального образования – Старожиловское городское поселение Старожиловского муниципального района Рязанской области"
(Зарегистрирован 02.08.2023 № 638)
Номер опубликования: 6201202308040004
Дата опубликования: 04.08.2023
Страница №63 из 215:
Увеличить