Официальное опубликование правовых актов
ОФИЦИАЛЬНОЕ ОПУБЛИКОВАНИЕ
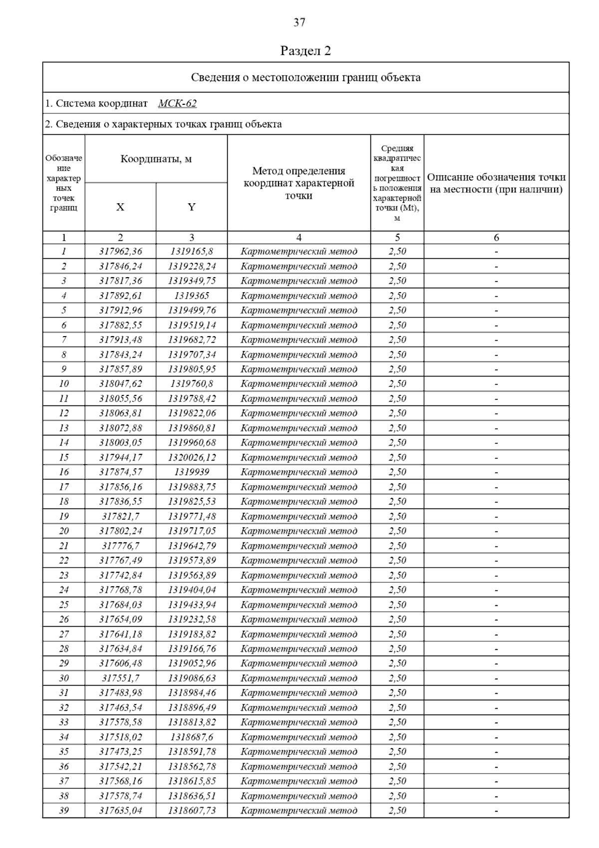
Постановление Главного управления архитектуры и градостроительства Рязанской области от 07.08.2023 № 361-п
"Об утверждении генерального плана муниципального образования – Милославское сельское поселение Милославского муниципального района Рязанской области"
(Зарегистрирован 08.08.2023 № 657)
Номер опубликования: 6201202308100003
Дата опубликования: 10.08.2023
Страница №48 из 84:
Увеличить