Официальное опубликование правовых актов
ОФИЦИАЛЬНОЕ ОПУБЛИКОВАНИЕ
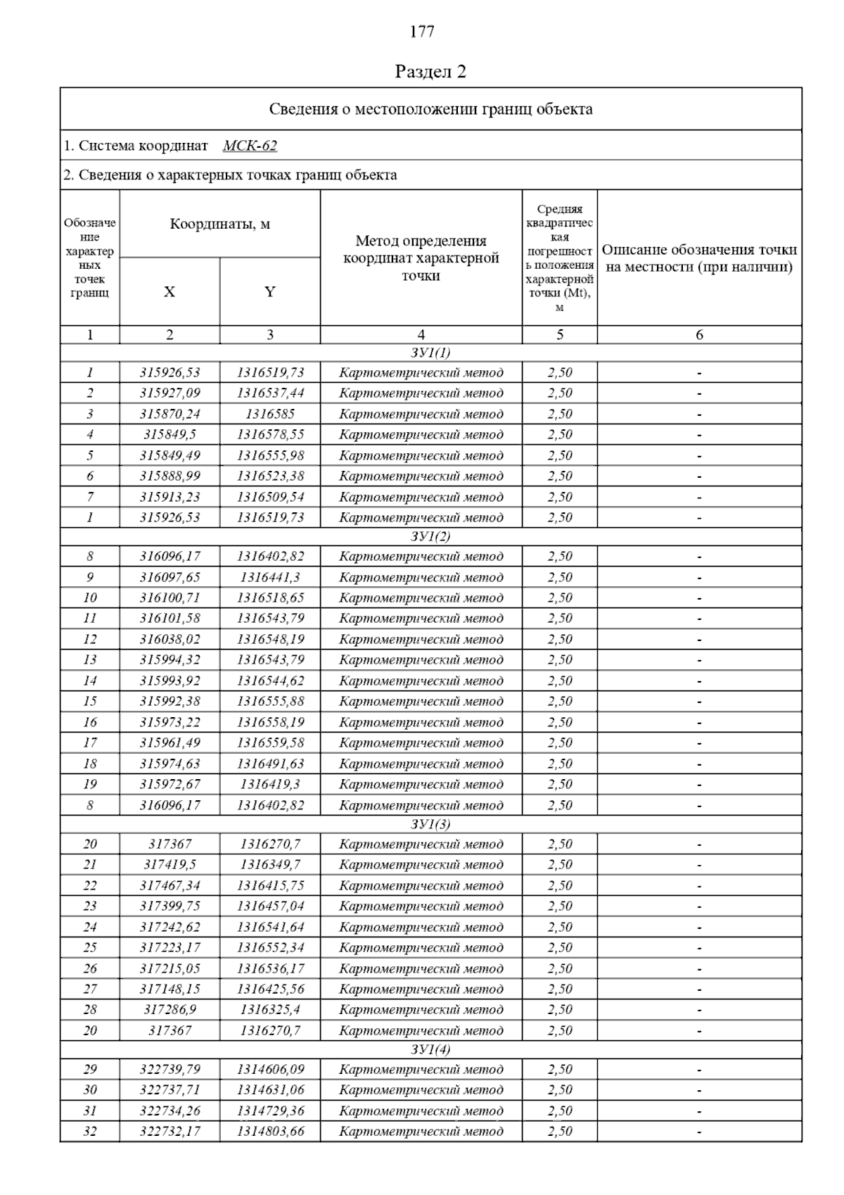
Постановление Главного управления архитектуры и градостроительства Рязанской области от 07.08.2023 № 362-п
"Об утверждении правил землепользования и застройки муниципального образования – Милославское сельское поселение Милославского муниципального района Рязанской области"
(Зарегистрирован 08.08.2023 № 658)
Номер опубликования: 6201202308100015
Дата опубликования: 10.08.2023
Страница №211 из 226:
Увеличить