Официальное опубликование правовых актов
ОФИЦИАЛЬНОЕ ОПУБЛИКОВАНИЕ
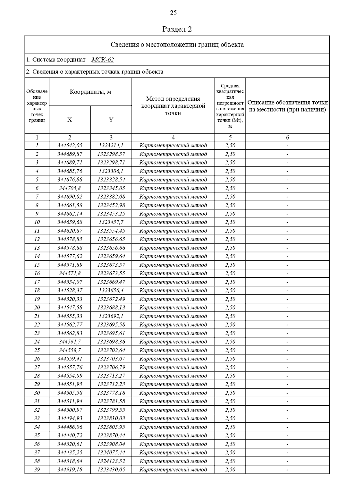
Постановление Главного управления архитектуры и градостроительства Рязанской области от 08.08.2023 № 365-п
"Об утверждении генерального плана муниципального образования – Полянское сельское поселение Скопинского муниципального района Рязанской области"
(Зарегистрирован 09.08.2023 № 662)
Номер опубликования: 6201202308110001
Дата опубликования: 11.08.2023
Страница №35 из 38:
Увеличить