Официальное опубликование правовых актов
ОФИЦИАЛЬНОЕ ОПУБЛИКОВАНИЕ
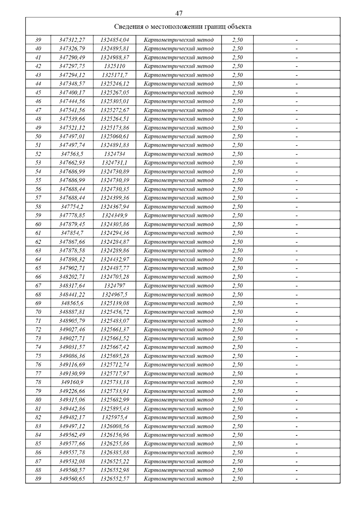
Постановление Главного управления архитектуры и градостроительства Рязанской области от 08.08.2023 № 366-п
"Об утверждении правил землепользования и застройки муниципального образования – Полянское сельское поселение Скопинского муниципального района Рязанской области"
(Зарегистрирован 09.08.2023 № 663)
Номер опубликования: 6201202308140001
Дата опубликования: 14.08.2023
Страница №80 из 129:
Увеличить