Официальное опубликование правовых актов
ОФИЦИАЛЬНОЕ ОПУБЛИКОВАНИЕ
Постановление Главного управления архитектуры и градостроительства Рязанской области от 22.08.2023 № 372-п
"Об утверждении изменений в генеральный план муниципального образования – Октябрьское сельское поселение Пронского муниципального района Рязанской области"
(Зарегистрирован 22.08.2023 № 685)
Номер опубликования: 6201202308240004
Дата опубликования: 24.08.2023
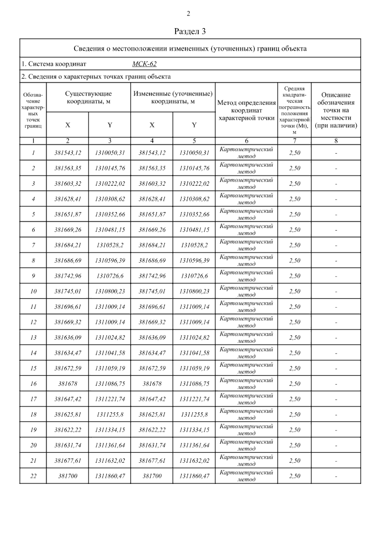
Страница №7 из 12:
Увеличить